為了放大模仿信號必需運用有源器件。MOS晶體管就是一種頻繁運用的有源器件。MOS晶體管的三個端子中有兩個分別是輸入端和輸出端。還有第三個端子,將這個端子固定為一定的電位就能夠構成三種放大電路。就是說,源極、柵極、漏極中的某個極銜接到固定電位上,就可以分別構成源極接地、柵極接地、漏極接地三種放大電路。
端子不一定非要接地(GND)才干固定電位,為什么要“接地”?由于關于被放大的信號來說,電位固定的端子可以看作交流接地。另外,就MOS晶體管的輸入輸出端的分配來說,電絕緣的柵極不能作為輸出端運用,所以可以組合起來的放大電路就如表3.1所列。


源極接地放大電路
表3.1所示的放大電路中,源極接地放大電路是最常用的模仿電路。所以首先對源極接地放大電路的放大功用停止討論。
如前所述,簡直一切模仿電路中的MOS晶體管都是工作在飽和區(qū)。在飽和區(qū),即便改動漏極電壓VDS,其漏極電流ID簡直不增加。換句話說,MOS晶體管是工作在輸出電阻r。十分大的偏置條件下。為了便于了解放大的原理,首先思索假設輸出電阻ro(=νds/id)無限大條件下的狀況。這里的νds是漏極電壓的微小變化量,id是漏極電流的微小變化量(以下ν、i等小寫字母都是表示微小變化量)。然后再來計算輸出電阻為有限值時的電壓增益。
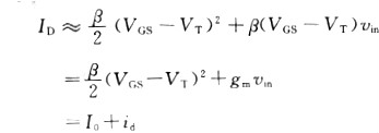
如圖3.1所示,給MOS晶體管的柵極加直流偏壓VGS,再加模仿信號電壓νin,于是,漏極端(輸出)除產生直流電流成分之外,還有與輸入信號νin成比例的小信號電流id=gmνin流過:

式中,VT為MOS晶體管的閾值電壓;β為與溝道長寬比等有關的參量(β≡(w/L)μCox);gm為跨導。
式(3.1)中的輸人信號νin十分小,假定級數展開的2次項以上的高次項能夠疏忽不計。式(3.1)右邊第一項表示與柵極電壓VGS相對應的直流漏極電流Io,第二項是與輸入信號νin相對應的輸出漏極電流ido在解析放大電路時,假定信號電壓νin十分小,這時電路的工作都可看作是線性的(近似直線),因此計算就變得十分簡單。
式(3.1)中,當只思索與放大有關的信號成分(右邊第二項)時,源極接地的MOS晶體管就能夠看作具有將輸入的小信號電壓uin變換為電流ia=gmvin功用的器件。

現在討論將這個信號成分作為輸出電壓取出的方法。按照歐姆定律,當小信號電流id流過電阻R時,電阻兩端產生電壓idR。利用這個原理,就能夠取出放大后的信號。
例如,如圖3.2所示,將電壓-電流變換器件MOS晶體管與負載電阻Rload連接,并流過式(3.1)所示的電流I(=直流成分lo+小信號成分id),那么輸出電壓就是VDD-Rload(Io+id)。其中直流電壓成分VDD-RloadIo中不包含信號信息,所以沒有取出處理的必要。而包含小信號電流的輸出信號電壓Vout= —Rload.id必須放大輸出。按照歐姆定律,如果負載電阻Rload大,那么輸出信號νout也就大。Rload前面的負號意味著輸出信號相對于電流信號成分id以反相位輸出。


所以這個電路的輸入、輸出信號間的關系可整理如下:

由式(3.2)能夠得到源極接地放大電路的電壓增益為


從這個結果能夠看出,為了取得高的增益,應該運用具有大跨導gm的有源器件與大的負載電阻Rload相銜接。
上面的闡明中,假定次級的輸入負載電阻Rin比MOS晶體管的輸出電阻ro大得多。但是,實踐的源極接地電路的有效輸出電阻是負載電阻Rload與MOS晶體管的輸出電阻r。以及次級的輸入負載電阻Rin呈并聯銜接的,要用這樣的放大電路驅動R。小的電路并非上策。所以,下面思索Rin十分大而且r。也是實踐值的狀況。
電路原理
CMOS模仿集成電路中,更多的狀況是圖3.2的負載電阻Rload并不是單純的電阻元件,而是由MOS晶體管的輸出電阻ro替代。
(1)負載電阻采用MOS晶體管的話,能夠流過更多的電流用來驅動MOS晶體管,這意味著驅動器件的9m大。
(2)改動負載MOS晶體管的尺寸或偏置條件,就可以門由地調整輸出電阻ro的值。
(3) MOS晶體管占有的面積比電阻元件小。
圖3.3示出用P溝MOS晶體管的輸出電阻rop交換圖3.2中的負載電阻Pload的源極接地放大電路。這個電路的有效輸出電阻R能夠經過下面的實驗求得。
假如增人輸出端電壓νout流入驅動器件N溝MOS晶體管的漏極電流νout/ron就增加。這一點能夠從輸出電阻的定義式得到闡明。而負載一側的P溝MoS晶體管中則相反,自漏極流出的電流νout/rop減少,所以在流入輸出端的有效電流iout與νout之間下面的關系式成立:


式中,ron、rop分別是N溝MOS晶體管和P溝MOS晶體管的輸出電阻。從式(3.3)能夠看出,用P溝MOS晶體管作為負載的源極接地放大電路的有效輸出電阻R,如圖3.3的右圖所示那樣,與輸出端銜接的兩個MOS晶體管的漏極電阻(ron,rop)的并聯電阻等價。即

rop∥ron表示rop與ron并聯銜接的合成電阻。當次級的輸入電阻Rin影響不可疏忽時,R就表示為:

放大電路的電壓增益Ao由MOS晶體管的漏極電阻ro與跨導gm之積給出輸出電阻ro與電流成反比。驅動一側的MOS晶體管的gm與I成比例(參考第2章式(2.6))。因而,如圖3.4所示,源極接地放大電路的增益|Ao|=gmR與流過MOS晶體管的電流f的平方根成反比。但是,為了取得高增益,減小電流I的話就不能快速驅動次級電路,所以實踐的放大電路中,在耗費功率與高速響應之間取恰當的折中。普通來說,CMOS電路以放大增益為目的時的gmro為幾十倍的大小還是容易得到的。

烜芯微專業(yè)制造二極管,三極管,MOS管,20年,工廠直銷省20%,1500家電路電器生產企業(yè)選用,專業(yè)的工程師幫您穩(wěn)定好每一批產品,如果您有遇到什么需要幫助解決的,可以點擊右邊的工程師,或者點擊銷售經理給您精準的報價以及產品介紹

